our best faculties

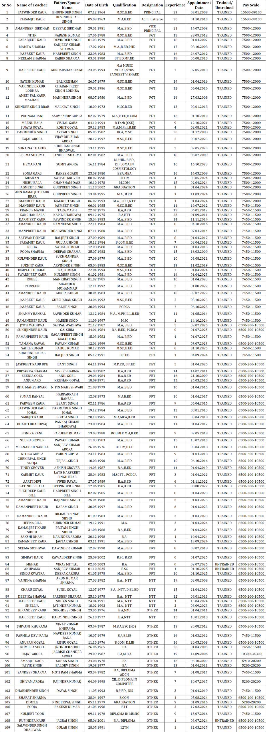
CAMBRIDGE INTERNATIONAL SCHOOL , KOTKAPURA ROAD, MOGA (20458)

LIST OF TEACHERS SESSION 2025-26

CAMBRIDGE INTERNATIONAL SCHOOL , KOTKAPURA ROAD, MOGA (20458)

LIST OF TEACHERS SESSION 2022-23

Sr.No.

Name of Teacher

Father/Spouse name

Qualification

Designation

Experience

Appointment Date

1

SATWINDER KAUR

BHUPINDER SINGH

M.SC.,B.ED

PRINCIPAL

25

03.01.2008

2

PARAMJIT KAUR

DEVINDERPAL SINGH

M.A,B.ED

ADMINISTRATOR

29

01.10.2010

3

AMANDEEP  GIRDHAR

DEEPAK GIRDHAR

M.A.,B.ED

PGT

27

14.07.2008

4

MONIKA SIDHU

S.S. SIDHU

M.SC.,B.ED

PGT

11

15.10.2012

5

NITIN

NARESH KUMAR

M.SC.,B.ED

PGT

11

28.05.2012

6

SUTAPA ROY

GOURANGA SUNDER ROY

M.COM,MBA B.ED

PGT

28

15.04.2009

7

SARABJEET KAUR

DEVINDER SINGH

M.A.,B.ED

PGT

16

01.04.2007

8

MAMTA SHARMA

SANJEEV KUMAR SHARMA

M.A.,B.ED,PHD

PGT

16

08.10.2008

9

JASPREET KAUR

HARPREET SINGH

M.A.,B.ED

PGT

15

26.07.2012

10

NEELAM SHARMA

RAJBIR SINGH

BP.ED,MP.ED

PGT

14

05.08.2010

11

HARPREET KAUR

HARMINDER SINGH

M.SC.,B.ED

PGT

5

07.05.2018

12

SATISH KUMAR

BAL KRISHAN

M.SC.,B.ED

PGT

15

01.04.2016

13

VARINDER KAUR LODHRA

CHARANPREET SINGH LODHRA

M.SC.,B.ED

PGT

11

06.04.2016

14

AMRITPAL KAUR

MANINDER SINGH

M.A.,B.ED

PGT

15

27.03.2008

15

SHINDER SINGH BRAR

MALKIAT SINGH

M.SC,B.ED

PGT

12

08.01.2018

16

POONAM RANI

SARV SARUP GUPTA

M.A.,B.ED,B.COM

PGT

13

01.10.2010

17

MANPREET KAUR BRAR

KULWANT SINGH

M.COM,MBA

PGT

12

11.08.2021

18

RAJDEEP SINGH

Late JASPAL SINGH

M.COM

PGT

4

01.09.2021

19

MEENU BALA

VISHAL

B.Tech

PGT

5

12.10.2021

20

SUJATA GOYAL

ROHIT GOYAL

M.A,M.Phil,B.ED

PGT

4

02.08.2021

21

SIMRANPREET KAUR

JATINDER SINGH

B.A,3 YRS Diploma CMT

PGT

2

19.04.2021

22

LOVEPREET KAUR

MANINDERDEEP SINGH

M.SC.,B.ED

PGT

11

29.09.2021

23

PRIYANKA MIGLANI

SURENDER MIGLANI

M.A.,B.ED,B.COM

PGT

5

26.10.2020

24

CHANDRIKA GARG

TANUJ GARG

M.A FINE ARTS

PGT

4

01.04.2019

25

PARMINDER SINGH

AVTAR SINGH

BCA, M.SC

PGT

19

01.12.2008

26

SEEMA SHARMA

SANDEEP SHARMA

M.A.,B.ED

PGT

17

06.07.2009

27

MANDEEP KAUR

JASMEET SINGH

M.SC.,B.ED

TGT

13

19.07.2012

28

RITU GARG

AMRIT GARG

B.SC,B.ED

TGT

21

17.08.2007

29

FRANCIS MASIH

TARA MASIH

B.A,B.ED

TGT

12

06.01.2012

30

KANCHAN BALA

KAPIL BHARDWAJ

B.A,ETT

TGT

24

01.09.2011

31

SHAMMY BANSAL

MANISH KUMAR

M.A.,B.ED

TGT

15

01.05.2014

32

KARMJEET KAUR

JASWINDER SINGH

M.A.,B.ED

TGT

13

11.11.2014

33

AMANDEEP KAUR

RAMNISH SOOD

M.A.,B.ED

TGT

7

04.10.2016

34

PROMILLA

JAGTAR SINGH

M.A.,B.ED

TGT

20

01.04.2014

35

MANPREET KAUR

SATWANT SINGH

M.A.,B.ED

TGT

12

07.04.2014

36

SATWANT SINGH

BALJEET SINGH

M.A.,B.ED

TGT

6

01.04.2017

37

PARAMJIT KAUR

GULTAR SINGH

B.COM,B.ED

TGT

6

03.04.2018

38

RICHA

SATISH KUMAR

M.A.,B.ED

TGT

10

01.04.2013

39

POOJA SHARMA

DEEPAK SHARMA

M.A.,B.ED

TGT

14

16.03.2009

40

KAMALPREET SHARMA

VIKRANT SHARMA

M.A.,B.ED

TGT

13

26.07.2011

41

NEETU RANA

DHARMINDER KUMAR RANA

M.A,

TGT

18

01.04.2015

42

CHETAN

PARAMJIT SHARMA

M.SC.,B.ED

TGT

3

16.10.2020

43

KULWINDER KAUR

SUKHMANDER  SINGH

M.A.,B.ED

TGT

9

03.08.2021

44

SUKHJIT KAUR

ARVINDER SINGH

M.SC.,B.ED

TGT

10

11.02.2019

45

AMANDEEP KAUR SANDHU

MANJINDER SINGH SANDHU

M.A,B.ED,M.ED

TGT

7

15.04.2015

46

BALVIR KAUR

JATINDER SINGH

B.A,B.ED

TGT

21

20.04.2010

47

RAMANPREET KAUR

ARSHDEEP SINGH

MCA

TGT COMPUTER

6

01.04.2022

48

MANVINDER KAUR

MANPREET SINGH

M.A. B.ED

TGT ENGLISH / SST

1

01.04.2022

49

BHAWANJEET KAUR

RAJ KARAN SINGH GILL

M.A. B.ED

TGT ENGLISH / SST

4

01.04.2022

50

SIMRAN WALIA

GAGANDEEP SINGH

M.A. B.ED

TGT SCIENCE

4

26.04.2022

51

AMRITPAL SINGH CHAHAL

DARSHAN SINGH

BP.ED,MP.ED

PET

11

01.04.2014

52

BIMLA

KULDEEP SINGH

B.P.ED

PET

2

01.04.2022

53

ROOPVATI

JAGDEEP SINGH

B.PE,B.P.ED

PET

7

16.04.2018

54

SONIA GOYAL

GAGAN GOYAL

M.A,B.P.ED

PET

15

03.10.2018

55

PRIYANKA SHARMA

VIVEK SHARMA

B.A,B.ED

PRT

12

14.07.2011

56

SANDEEP KAUR

JATINDER SINGH

M.A.,B.ED

PRT

18

02.09.2013

57

ZEENIA GOEL

ANIL GOEL

B.A,B.ED

PRT

14

21.10.2009

58

MONIKA GUPTA

PRINCE GARG

B.A,ETT

PRT

15

01.04.2011

59

ANJU GARG

KRISHAN GOPAL

B.A,B.ED

PRT

13

25.03.2010

60

RAJNI BALA

ARUN KUMAR

M.A.,B.ED

PRT

15

12.07.2010

61

RITU MAHESHWARI

NITIN MAHESHWARI

M.A.,B.ED

PRT

8

01.04.2010

62

SUMAN BANSAL

HARPARKASH BANSAL

B.A,B.ED

PRT

9

01.04.2017

63

SUKHJINDER KAUR

KULWANT SINGH

B.A,B.ED

PRT

8

01.04.2015

64

PARVEEN KAUR

BEANT SINGH

B.A,B.ED

PRT

8

06.04.2015

65

SATWINDER KAUR JOHAL

PARMINDER SINGH JOHAL

M.A.,B.ED

PRT

10

08.01.2013

66

SARBJIT KAUR

BOOTA SINGH

M.A,MCA,B.ED

PRT

5

03.04.2018

67

DEEPIKA SHARMA

DIVYAMANI SHARMA

M.A.,B.ED

PRT

11

01.04.2014

68

SUKHDEEP KAUR

JAGTAR SINGH

MCA,PGDCA

PRT

10

22.07.2013

69

BHARTI

PANKAJ KUMAR

M.A.,B.ED

PRT

7

01.04.2017

70

SONIKA RANI

PARDEEP KUMAR

DOUBLE M.A,B.ED

PRT

5

02.05.2018

71

NEERU GROVER

PAWAN KUMAR

M.A.,B.ED

PRT

13

13.07.2010

72

REENA BANSAL

DEEPAK BANSAL

B.A,B.ED

PRT

5

11.07.2018

73

SARBJIT KAUR BEDI

BALJINDER SINGH BEDI

B.A,B.ED

PRT

9

09.04.2014

74

MEENAKSHI NARULA

SANJEEV KUMAR ARORA

B.COM,B.ED

PRT

10

03.04.2018

75

NITIKA

VARUN GUPTA

M.A.,B.ED

PRT

8

01.04.2018

76

GURKIRPAL SINGH

TEJPAL SINGH

M.A.,B.ED

PRT

8

06.10.2016

77

SARABJIT KAUR

KAMALPREET SINGH

M.A.,B.ED

PRT

4

13.10.2021

78

TINKY GROVER

ASHISH GROVER

M.A.,B.ED

PRT

13

01.04.2019

79

SUKHMAN KAUR  SIDHU

NAVTEJ SINGH SIDHU

M.SC , B.ED

PRT

2

29.09.2021

80

SALONI ARORA

TARSEM LAL

B.A,B.ED

PRT

2

02.08.2021

81

KARMJIT KAUR

LATE HARPREET SINGH BRAR

M.SC IT

PRT COMPUTER

2

01.04.2022

82

VANDNA SHARMA

ARUN SHARMA

B.A. , N.TT

NTT

18

03.08.2009

83

CHARU GOYAL

SUNIL GOYAL

B.A. , N.TT

NTT

13

21.04.2010

84

DEEPIKA SHARMA

PARDEEP SHARMA

B.A. , N.TT

NTT

11

08.01.2013

85

MANPREET KAUR KAMBO

GURINDER SINGH KAMBO

B.A

HELPER TEACHER NTT

15

01.04.2011

86

ANU BALA

MOHAN LAL MEHTA

B.A

HELPER TEACHER NTT

14

21.08.2009

87

KIRANDEEP KAUR

SUKHDEEP SINGH

B.A,MMI

MONT.TEACHER NTT

12

01.04.2011

88

HARPREET KAUR

HARMINDER SINGH

B.A,NTT

NTT

13

18.01.2010

89

SHIVANI

VINAY KUMAR KHURANA

M.B.A

NTT ART TEACHER

11

20.08.2012

90

JAGDEEP KAUR

KARTAR SINGH

M.A.,PARBHAKAR

NTT HELPER TEACHER

8

01.05.2015

91

VANITA RANI

HEERA SINGH

M.A,MMI

NTT

8

14.05.2015

92

PARMILA DEVI

NAVDEEP KUMAR RANA

B.A,B.LIB

LIBRARIAN

15

01.03.2012

93

ANUPAM GOYAL

RISHU GOYAL

B.COM, D.LIB

ASSISTANT LIBRARIAN

15

20.03.2008

94

ROMILLA SOOD

JATINDER SOOD

BA

COORDINATOR

18

01.04.2005

95

NEENA GHAI

VARINDER KUMAR GHAI

M.A

COORDINATOR

16

03.01.2007

96

SONIA GARG

RAKESH GARG

B.A,MBA

COORDINATOR

14

16.03.2009

97

RAJAT ARORA

JAGDISH CHANDER ARORA

BA,MBA

ACCOUNTANT

17

14.09.2006

98

GURMEET KAUR

SUKHVEER SINGH

BA

SUPDT.

12

11.08.2011

99

AMARJIT KAUR

SOHAN SINGH

BA

OFFICE STAFF

15

03.10.2009

100

JASVIR SINGH

BALDEV SINGH

BA

LAB ASSISTANT

12

01.04.2011

101

SANDEEP KUMAR

MOTI RAM SHARMA

B.A

SMART CLASS COORDINATOR

6

01.08.2017

102

SHIVAM

RAJINDER KUMAR

XII

OFFICE STAFF

6

10.07.2017

103

AMANPREET KAUR

KIRANDEEP SINGH

XII,Diploma in IPT

RECEPTIONIST

2

01.09.2021

104

MANI ARORA

RAJINDER KUMAR

B.A.

ADMISSION COUNSELOR

7

14.03.2022

105

DHARMENDER SINGH

DAYAL SINGH

DIPLOMA

OTHER

2

01.04.2019

106

POOJA RANI GILL

SULAKHAN SINGH GILL

B.A. , N.TT

OTHER

0

21.04.2022

 

Admission 2026-2027
close slider